氮沉降作為全球變化的主要現象之一,深刻影響陸地生態系統過程及與其相關的生物地球化學循環過程,如凋落物分解。凋落物分解參與生態系統碳的周轉與循環,影響生態系統碳的收支平衡,是陸地生態系統碳循環的核心關鍵過程。近年來,國內外生態學家通過野外模擬實驗開展了大量氮沉降增加對凋落物分解影響的研究,并積累了一些研究成果。但是,目前已開展的模擬氮沉降實驗大多采用人工施加無機氮(主要為硝酸銨)形式實現的,而忽略了有機氮組分。越來越多的研究表明有機氮占大氣氮沉降量很大的比例(30%左右),同時,伴隨著農業化肥的生產和使用,有機氮占總氮沉降量的比例正處于持續增加的狀態。因此,僅僅通過添加無機氮可能不能全面的評估氮沉降對陸地生態系統土壤碳循環的影響。
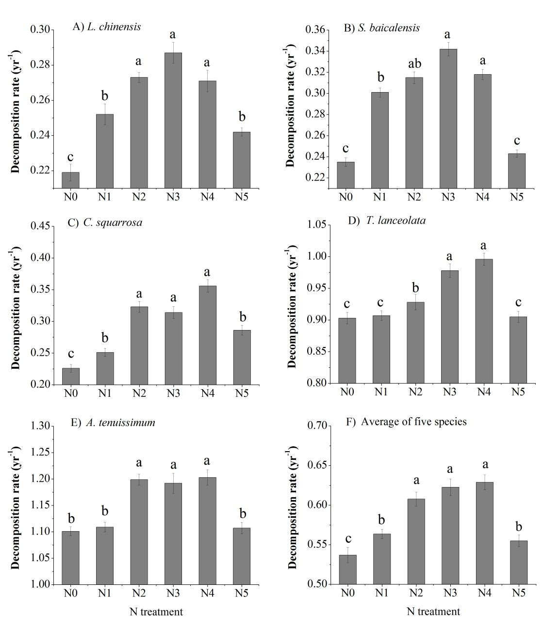
鑒于此,中國科學院沈陽應用生態研究所生態化學計量學組以內蒙古草原的5種優勢種為研究對象,依托不同形式氮添加(有機氮和無機氮)實驗平臺,研究了不同形式氮添加對草地根系分解的影響。為期兩年的分解結果發現,無論是無機氮添加,還是有機氮添加,均促進了根系分解速率,并且混合氮添加處理對分解的促進作用最強(Fig.1)。并且這種促進程度與根系的基質氮含量密切相關,對氮含量較低的根系具有更高的促進作用,而與根系的初始木質素含量不相關。同時研究發現,氮添加對凋落物分解酶的影響可以很大程度解釋根系分解對不同形式氮添加的響應結果。因此,本研究強調了在模擬氮沉降對生態系統過程影響研究中有機氮組分的重要性,如果忽視有機氮,可能會高估氮沉降對土壤碳庫的碳匯作用。
以上研究成果近期以“Response of fine root decomposition to different forms of N deposition in a temperate grassland ”為題發表在Soil Biology and Biochemistry期刊。生態化學計量學組特別研究助理董利利博士為第一作者,王正文研究員為通訊作者。該研究得到國家重點研發計劃、國家自然科學基金、博士后面上基金等項目的支持。

不同形式氮添加對溫帶草地5種典型物種根系分解的影響